This section contains summary metrics on the number of sites and coverage can be found in the table below. The summary table below is also available as csv file.
| sampleName | sites_num | sites_covgMean | sites_covgMedian | sites_covgPerc25 | sites_covgPerc75 | sites_numCovg5 | sites_numCovg10 | sites_numCovg30 | sites_numCovg60 | |
| Bcell_PB_10_50_1000_D1_M_PE | Bcell_PB_10_50_1000_D1_M_PE | 13552247 | 1.57006694166657 | 1 | 1 | 2 | 128869 | 2790 | 422 | 175 |
| Bcell_PB_10_50_1000_D2_M_PE | Bcell_PB_10_50_1000_D2_M_PE | 18235153 | 2.18471630043357 | 2 | 1 | 3 | 1245637 | 20856 | 1244 | 322 |
| Bcell_PB_10_50_1000_D3_M_PE | Bcell_PB_10_50_1000_D3_M_PE | 15765387 | 1.78170037944518 | 1 | 1 | 2 | 369000 | 5114 | 619 | 247 |
| CD4_PB_10_50_1000_D1_M_PE | CD4_PB_10_50_1000_D1_M_PE | 13113399 | 1.56698938238667 | 1 | 1 | 2 | 131487 | 2829 | 330 | 119 |
| CD4_PB_10_50_1000_D2_M_PE | CD4_PB_10_50_1000_D2_M_PE | 17987293 | 2.06086391098427 | 2 | 1 | 3 | 907795 | 12035 | 958 | 302 |
| CD4_PB_10_50_1000_D3_M_PE | CD4_PB_10_50_1000_D3_M_PE | 18330369 | 2.10753313258451 | 2 | 1 | 3 | 1029618 | 14688 | 1060 | 382 |
| CD8_PB_10_50_1000_D1_M_PE | CD8_PB_10_50_1000_D1_M_PE | 17545554 | 1.98351280330049 | 2 | 1 | 3 | 729674 | 9357 | 771 | 277 |
| CD8_PB_10_50_1000_D2_M_PE | CD8_PB_10_50_1000_D2_M_PE | 17196919 | 1.99322035534389 | 2 | 1 | 3 | 766776 | 10977 | 914 | 258 |
| CD8_PB_10_50_1000_D3_M_PE | CD8_PB_10_50_1000_D3_M_PE | 17916780 | 2.05546392822818 | 2 | 1 | 3 | 900947 | 11724 | 954 | 363 |
| CLP_PB_10_50_1000_D1_M_PE | CLP_PB_10_50_1000_D1_M_PE | 23262363 | 3.23648461680356 | 3 | 2 | 4 | 5308668 | 207600 | 4977 | 1744 |
| CLP_PB_10_50_1000_D2_M_PE | CLP_PB_10_50_1000_D2_M_PE | 24193362 | 3.87466669576557 | 3 | 2 | 5 | 8189929 | 586169 | 5741 | 1718 |
| CLP_PB_10_50_1000_D3_M_PE | CLP_PB_10_50_1000_D3_M_PE | 22723887 | 3.11131665106413 | 3 | 2 | 4 | 4732949 | 170918 | 3959 | 1462 |
| CMP_PB_10_50_1000_D1_M_PE | CMP_PB_10_50_1000_D1_M_PE | 22617651 | 3.02689227099667 | 3 | 2 | 4 | 4370268 | 145702 | 3376 | 1139 |
| CMP_PB_10_50_1000_D2_M_PE | CMP_PB_10_50_1000_D2_M_PE | 22770523 | 3.11360529575889 | 3 | 2 | 4 | 4754964 | 176993 | 3732 | 1333 |
| CMP_PB_10_50_1000_D3_M_PE | CMP_PB_10_50_1000_D3_M_PE | 22326275 | 3.05331614879778 | 3 | 2 | 4 | 4469725 | 152872 | 2901 | 880 |
| GMP_PB_10_50_1000_D1_M_PE | GMP_PB_10_50_1000_D1_M_PE | 21523150 | 2.94009022842847 | 2 | 1 | 4 | 3906680 | 159081 | 3921 | 1055 |
| GMP_PB_10_50_1000_D2_M_PE | GMP_PB_10_50_1000_D2_M_PE | 21858654 | 2.92860388384391 | 2 | 1 | 4 | 3900296 | 130232 | 3055 | 940 |
| GMP_PB_10_50_1000_D3_M_PE | GMP_PB_10_50_1000_D3_M_PE | 23405942 | 3.46758912758135 | 3 | 2 | 5 | 6308258 | 322370 | 4106 | 1394 |
| HSC_BM_10_50_1000_D1_M_PE | HSC_BM_10_50_1000_D1_M_PE | 20675481 | 2.53054881770344 | 2 | 1 | 3 | 2354444 | 43858 | 1658 | 647 |
| HSC_BM_10_50_1000_D3_M_PE | HSC_BM_10_50_1000_D3_M_PE | 22064005 | 2.87447084062935 | 2 | 1 | 4 | 3699450 | 103397 | 3113 | 990 |
| HSC_CB_10_50_1000_D4_M_PE | HSC_CB_10_50_1000_D4_M_PE | 18746021 | 2.11013622570891 | 2 | 1 | 3 | 1030775 | 17883 | 1649 | 657 |
| HSC_CB_10_50_1000_D5_M_PE | HSC_CB_10_50_1000_D5_M_PE | 22708023 | 3.11790907557208 | 3 | 2 | 4 | 4771653 | 163931 | 2249 | 822 |
| HSC_CB_10_50_1000_D6_M_PE | HSC_CB_10_50_1000_D6_M_PE | 22286161 | 2.94099629810625 | 3 | 1 | 4 | 3978455 | 123647 | 4111 | 1297 |
| HSC_FL_10_50_1000_D1_M_PE | HSC_FL_10_50_1000_D1_M_PE | 18238068 | 2.12483537181679 | 2 | 1 | 3 | 1079746 | 19209 | 1519 | 472 |
| HSC_FL_10_50_1000_D2_M_PE | HSC_FL_10_50_1000_D2_M_PE | 18305611 | 2.04649842062086 | 2 | 1 | 3 | 867846 | 29613 | 3127 | 878 |
| HSC_PB_10_50_1000_D7_M_PE | HSC_PB_10_50_1000_D7_M_PE | 12732716 | 1.54179524619885 | 1 | 1 | 2 | 118230 | 4806 | 678 | 191 |
| HSC_PB_10_50_1000_D9_M_PE | HSC_PB_10_50_1000_D9_M_PE | 11601693 | 1.43762957699363 | 1 | 1 | 2 | 54118 | 2330 | 487 | 230 |
| MEP_PB_10_50_1000_D1_M_PE | MEP_PB_10_50_1000_D1_M_PE | 22716974 | 3.10125912896675 | 3 | 2 | 4 | 4688843 | 168972 | 3796 | 1212 |
| MEP_PB_10_50_1000_D2_M_PE | MEP_PB_10_50_1000_D2_M_PE | 23191790 | 3.32740439612466 | 3 | 2 | 4 | 5657352 | 263583 | 5661 | 2105 |
| MEP_PB_10_50_1000_D3_M_PE | MEP_PB_10_50_1000_D3_M_PE | 22157606 | 3.00150169652803 | 3 | 1 | 4 | 4234118 | 142164 | 2527 | 857 |
| MLP0_PB_10_50_1000_D1_M_PE | MLP0_PB_10_50_1000_D1_M_PE | 20357689 | 2.51090720562634 | 2 | 1 | 3 | 2276873 | 49409 | 2131 | 554 |
| MLP0_PB_10_50_1000_D2_M_PE | MLP0_PB_10_50_1000_D2_M_PE | 22224556 | 3.02741283110448 | 3 | 2 | 4 | 4341805 | 138425 | 2283 | 732 |
| MLP0_PB_10_50_1000_D3_M_PE | MLP0_PB_10_50_1000_D3_M_PE | 21665168 | 2.75297482115071 | 2 | 1 | 4 | 3198320 | 69011 | 2187 | 941 |
| MLP1_PB_10_50_1000_D1_M_PE | MLP1_PB_10_50_1000_D1_M_PE | 22401636 | 2.98499364064303 | 3 | 2 | 4 | 4196098 | 127247 | 2891 | 874 |
| MLP1_PB_10_50_1000_D2_M_PE | MLP1_PB_10_50_1000_D2_M_PE | 23351409 | 3.42798269688995 | 3 | 2 | 5 | 6129767 | 317625 | 5088 | 1531 |
| MLP1_PB_10_50_1000_D3_M_PE | MLP1_PB_10_50_1000_D3_M_PE | 22580074 | 3.0470052489642 | 3 | 2 | 4 | 4447321 | 159571 | 3920 | 1281 |
| MLP2_PB_10_50_1000_D1_M_PE | MLP2_PB_10_50_1000_D1_M_PE | 19316305 | 2.18647748624802 | 2 | 1 | 3 | 1237172 | 24524 | 2101 | 758 |
| MLP2_PB_10_50_1000_D2_M_PE | MLP2_PB_10_50_1000_D2_M_PE | 21749337 | 2.74583468912178 | 2 | 1 | 4 | 3193927 | 76581 | 2738 | 850 |
| MLP2_PB_10_50_1000_D3_M_PE | MLP2_PB_10_50_1000_D3_M_PE | 22018095 | 2.90835669480036 | 2 | 1 | 4 | 3832391 | 107470 | 2753 | 975 |
| MLP3_PB_10_50_1000_D1_M_PE | MLP3_PB_10_50_1000_D1_M_PE | 21830199 | 2.73686332405857 | 2 | 1 | 4 | 3154625 | 72611 | 2710 | 960 |
| MLP3_PB_10_50_1000_D2_M_PE | MLP3_PB_10_50_1000_D2_M_PE | 22761160 | 3.07116104803094 | 3 | 2 | 4 | 4566973 | 158806 | 4193 | 1163 |
| MLP3_PB_10_50_1000_D3_M_PE | MLP3_PB_10_50_1000_D3_M_PE | 20962322 | 2.60403379930905 | 2 | 1 | 3 | 2627999 | 53385 | 2074 | 697 |
| MPP_BM_10_50_1000_D2_M_PE | MPP_BM_10_50_1000_D2_M_PE | 20225468 | 2.40113845573314 | 2 | 1 | 3 | 1891306 | 33094 | 1959 | 708 |
| MPP_CB_10_50_1000_D4_M_PE | MPP_CB_10_50_1000_D4_M_PE | 22437797 | 3.12864738904627 | 3 | 2 | 4 | 4770442 | 193156 | 3082 | 984 |
| MPP_CB_10_50_1000_D5_M_PE | MPP_CB_10_50_1000_D5_M_PE | 21433873 | 2.60800630851923 | 2 | 1 | 3 | 2636870 | 59699 | 2913 | 898 |
| MPP_CB_10_50_1000_D6_M_PE | MPP_CB_10_50_1000_D6_M_PE | 18184390 | 2.04126192850022 | 2 | 1 | 3 | 860107 | 16986 | 1792 | 642 |
| MPP_PB_10_50_1000_D10_M_PE | MPP_PB_10_50_1000_D10_M_PE | 22037613 | 2.80388756259581 | 2 | 1 | 4 | 3416811 | 86788 | 3109 | 947 |
| MPP_PB_10_50_1000_D7_M_PE | MPP_PB_10_50_1000_D7_M_PE | 17325405 | 1.92797894190641 | 2 | 1 | 2 | 625098 | 10985 | 1515 | 453 |
| MPP_PB_10_50_1000_D8_M_PE | MPP_PB_10_50_1000_D8_M_PE | 21116847 | 2.57349234002595 | 2 | 1 | 3 | 2510407 | 47926 | 2151 | 779 |
| MPP_PB_10_50_1000_D9_M_PE | MPP_PB_10_50_1000_D9_M_PE | 18030119 | 1.97573759773854 | 2 | 1 | 3 | 709186 | 12149 | 1419 | 627 |
| Mono_PB_10_50_1000_D1_M_PE | Mono_PB_10_50_1000_D1_M_PE | 15872036 | 1.77901240899403 | 1 | 1 | 2 | 364322 | 5702 | 588 | 242 |
| Mono_PB_10_50_1000_D2_M_PE | Mono_PB_10_50_1000_D2_M_PE | 19941017 | 2.42905409488392 | 2 | 1 | 3 | 1989004 | 35649 | 1556 | 459 |
| Mono_PB_10_50_1000_D3_M_PE | Mono_PB_10_50_1000_D3_M_PE | 19441576 | 2.29672470997208 | 2 | 1 | 3 | 1560716 | 22331 | 1197 | 427 |
| NK_PB_10_50_1000_D1_M_PE | NK_PB_10_50_1000_D1_M_PE | 12838088 | 1.52081174392947 | 1 | 1 | 2 | 98227 | 3162 | 406 | 149 |
| NK_PB_10_50_1000_D2_M_PE | NK_PB_10_50_1000_D2_M_PE | 13457760 | 1.72442048305216 | 1 | 1 | 2 | 315947 | 7131 | 552 | 81 |
| NK_PB_10_50_1000_D3_M_PE | NK_PB_10_50_1000_D3_M_PE | 14277798 | 1.68316591956267 | 1 | 1 | 2 | 254703 | 5393 | 561 | 186 |
| Neut_PB_10_50_1000_D1_M_PE | Neut_PB_10_50_1000_D1_M_PE | 18019477 | 2.02736999525569 | 2 | 1 | 3 | 827784 | 11307 | 935 | 319 |
| Neut_PB_10_50_1000_D2_M_PE | Neut_PB_10_50_1000_D2_M_PE | 17941725 | 2.14468084869209 | 2 | 1 | 3 | 1140412 | 16743 | 937 | 248 |
| Neut_PB_10_50_1000_D3_M_PE | Neut_PB_10_50_1000_D3_M_PE | 18395503 | 2.1655552446704 | 2 | 1 | 3 | 1189957 | 18463 | 1072 | 399 |
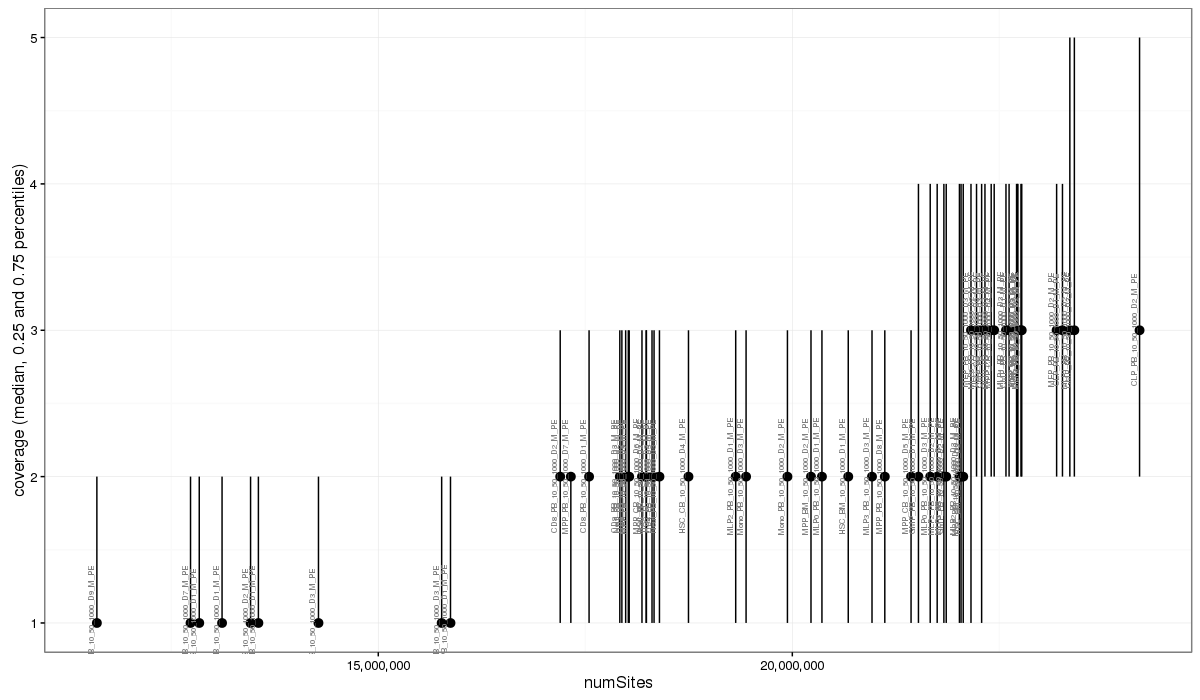
Covered sites and median coverages for each sample. Vertical bars depict the inter-quartile range.
No quality control plots are generated because all respective options are disabled.