Exploratory Analysis

Sample Groups

The specified traits were tested based on criteria for defining sample groups. The table below summarizes these traits.

Trait Number of groups
cellTypeCode 16
nominalCellNumber 2
cellSourceCurated 4

Region Annotations

There are 6 sets of genomic regions to be covered in the analysis. The table below gives a summary of these annotations.

Annotation Description Regions in the Dataset
tiling

Genome tiling regions of length 5000

548888
cpgislands

CpG island track of the UCSC Genome browser

26717
genes

Ensembl genes, version Ensembl Genes 78

53410
promoters

Promoter regions of Ensembl genes, version Ensembl Genes 78

56828
ensembleRegBuildBPall

Ensembl Regulatory build from BLUEPRINT data release 20150820 -- all

492073
ensembleRegBuildBPallMerged

Ensembl Regulatory build from BLUEPRINT data release 20150820 -- allMerged ; merged overlapping intervals

385124

Region length distributions

The plots below show region size distributions for the region types above.

Region type

Figure 1

Open PDF Figure 1

Distribution of region lengths

Number of sites per region

The plots below show the distributions of the number of sites per region type.

Region type

Figure 2

Open PDF Figure 2

Distribution of the number of sites per region

Region site distributions

The plots below show distributions of sites across the different region types.

Region type

Figure 3

Open PDF Figure 3

Distribution of sites across regions. relative coordinates of 0 and 1 corresponds to the start and end coordinates of that region respectively. Coordinates smaller than 0 and greater than 1 denote flanking regions normalized by region length.

Low-dimensional Representation

Dimension reduction is used to visually inspect the dataset for a strong signal in the methylation values that is related to samples' clinical or batch processing annotation. RnBeads implements two methods for dimension reduction - principal component analysis (PCA) and multidimensional scaling (MDS).

One or more of the methylation matrices was augmented before applying the dimension reduction techniques because it contains missing values. The column Missing lists the number of dimensions ignored due to missing values. In the case of MDS, dimensions are ignored only if they contain missing values for all samples. In contrast, sites or regions with missing values in any sample are ignored prior to PCA.

Sites/regions Technique Dimensions Missing Selected
tiling MDS 548888 0 548888
tiling PCA 548888 19125 529763
cpgislands MDS 26717 0 26717
cpgislands PCA 26717 2622 24095
genes MDS 53410 0 53410
genes PCA 53410 13435 39975
promoters MDS 56828 0 56828
promoters PCA 56828 5768 51060
ensembleRegBuildBPall MDS 492073 0 492073
ensembleRegBuildBPall PCA 492073 241428 250645
ensembleRegBuildBPallMerged MDS 385124 0 385124
ensembleRegBuildBPallMerged PCA 385124 179983 205141

Multidimensional Scaling

The scatter plot below visualizes the samples transformed into a two-dimensional space using MDS.

Location type
Distance
Sample representation
Sample color

Figure 4

Open PDF Figure 4

Scatter plot showing samples after performing Kruskal's non-metric mutidimensional scaling.

Principal Component Analysis

Similarly, the figure below shows the values of selected principal components in a scatter plot.

Location type
Principal components
Sample representation
Sample color

Figure 5

Open PDF Figure 5

Scatter plot showing the samples' coordinates on principal components.

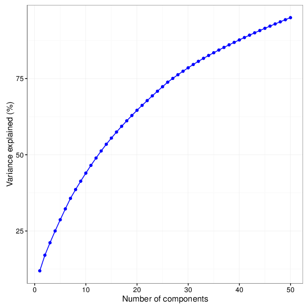
The figure below shows the cumulative distribution functions of variance explained by the principal components.

Location type

Figure 6

Open PDF Figure 6

Cumulative distribution function of percentange of variance explained.

The table below gives for each location type a number of principal components that explain at least 95 percent of the total variance. The full tables of variances explained by all components are available in comma-separated values files accompanying this report.

Location Type Number of Components Full Table File
tiling 50 csv
cpgislands 51 csv
genes 50 csv
promoters 50 csv
ensembleRegBuildBPall 51 csv
ensembleRegBuildBPallMerged 51 csv

Batch Effects

In this section, different properties of the dataset are tested for significant associations. The properties can include sample coordinates in the principal component space, phenotype traits and intensities of control probes. The tests used to calculate a p-value given two properties depend on the essence of the data:

Note that the p-values presented in this report are not corrected for multiple testing.

Associations between Principal Components and Traits

The computed sample coordinates in the principal component space were tested for association with the specified traits. Below is a list of the traits and the tests performed.

Trait Test
cellTypeCode Kruskal-Wallis
donorId Kruskal-Wallis
nominalCellNumber Correlation
cellSourceCurated Kruskal-Wallis

The next figure shows the computed correlations between the first 8 principal components and the sample traits.

Region type

Figure 7

Open PDF Figure 7

Heatmap presenting a table of correlations. Grey cells, if present, denote missing values.

The values presented in the figure above are avaialable in CSV (comma-separated value) files accompanying this report.

Location type Table file
tiling csv
cpgislands csv
genes csv
promoters csv
ensembleRegBuildBPall csv
ensembleRegBuildBPallMerged csv

The heatmap below summarizes the results of permutation tests performed for associations. Significant p-values (values less than 0.01) are displayed in pink background.

Region type

Figure 8

Open PDF Figure 8

Heatmap presenting a table of p-values. Significant p-values (less than 0.01) are printed in pink boxes. Non-significant values are represented by blue boxes. Bright grey cells, if present, denote missing values.

The full tables of p-values for each location type are available in CSV (comma-separated value) files below.

Location Type File Name
tiling csv
cpgislands csv
genes csv
promoters csv
ensembleRegBuildBPall csv
ensembleRegBuildBPallMerged csv

Associations between Traits

This section summarizes the associations between pairs of traits.

The figure below visualizes the tests that were performed on trait pairs based on the description provided above. In addition, the calculated p-values for associations between traits are shown. Significant p-values (values less than 0.01) are displayed in pink background. The full table of p-values is available in a dedicated file that accompanies this report.

Heatmap of

Figure 9

Open PDF Figure 9

(1) Table of performed tests on pairs of traits. Test names (Correlation + permutation test, Fisher's exact test, Wilcoxon rank sum test and/or Kruskal-Wallis one-way analysis of variance) are color-coded according to the legend given above.
(2) Table of resulting p-values from the performed tests on pairs of traits. Significant p-values (less than 0.01) are printed in pink boxes Non-significant values are represented by blue boxes. White cells, if present, denote missing values.

Clustering

The figure below shows clustering of samples using several algorithms and distance metrics.

Site/region level
Dissimilarity metric
Agglomeration strategy (linkage)
Sample color based on

Figure 10

Open PDF Figure 10

Hierarchical clustering of samples based on all methylation values. The heatmap displays methylation percentiles per sample. The legend for sample coloring can be found in the figure below.

Site/region level
Dissimilarity metric
Agglomeration strategy (linkage)
Sample color based on
Site/region color based on
Visualize

Figure 11

Open PDF Figure 11

Hierarchical clustering of samples based on all methylation values. The heatmap displays only selected sites/regions with the highest variance across all samples. The legend for locus and sample coloring can be found in the figure below.

Site/region level
Sample color based on
Site/region color based on

Figure 12

Open PDF Figure 12

Probe and sample colors used in the heatmaps in the previous figures.

Identified Clusters

Using the average silhouette value as a measure of cluster assignment [1], it is possible to infer the number of clusters produced by each of the studied methods. The figure below shows the corresponding mean silhouette value for every observed separation into clusters.

Site/region level
Dissimilarity metric

Figure 13

Open PDF Figure 13

Line plot visualizing mean silhouette values of the clustering algorithm outcomes for each applicable value of K (number of clusters).

The table below summarizes the number of clusters identified by the algorithms.

Site/region level

Metric Algorithm Clusters
correlation-based hierarchical (average linkage) 2
correlation-based hierarchical (complete linkage) 5
correlation-based hierarchical (median linkage) 2
Manhattan distance hierarchical (average linkage) 2
Manhattan distance hierarchical (complete linkage) 2
Manhattan distance hierarchical (median linkage) 2
Euclidean distance hierarchical (average linkage) 2
Euclidean distance hierarchical (complete linkage) 2
Euclidean distance hierarchical (median linkage) 2

Clusters and Traits

The figure below shows associations between clusterings and the examined traits. Associations are quantified using the adjusted Rand index [2]. Rand indices near 1 indicate high agreement while values close to -1 indicate seperation. The full table of all computed indices is stored in the following comma separated files:

Site/region level
Dissimilarity metric

Figure 14

Open PDF Figure 14

Heatmap visualizing Rand indices computed between sample traits (rows) and clustering algorithm outcomes (columns).

References

  1. Rousseeuw, P. J. (1987) Silhouettes: A graphical aid to the interpretation and validation of cluster analysis. Journal of Computational and Applied Mathematics, 20, 53-65
  2. Hubert, L. and Arabie, P. (1985) Comparing partitions. Journal of Classification, 2(1), 193-218